報告題目:Uniqueness of the non-trivial solutions of some degenerate Monge-Ampere equation
報 告 人:黃耿耿 教授
所在單位:複旦大學
報告時間:2022年7月5日 星期二 上午10:00-11:00
報告地點:騰訊會議 217-876-521
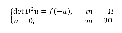
報告摘要: In this talk, we talk about the uniqueness of the non-trivial solutions of some degenerate Monge-Amp\`ere equations.

Under suitable conditions on f(t), we can show u is symmetric as Ω is symmetric. Then we can show the non-trivial solution u is unique by showing the non-degeneracy of the linearized equation for some special f(t). This is a joint work with Cheng Tingzhi.
報告人簡介: 黃耿耿,複旦大學數學科學學院教授,博士生導師。主要從事偏微分方程的理論研究,在Comm. Pure Appl. Math.,Comm. Partial Differential Equations,SIAM J. Numer. Anal.,Calc. Var. Partial Differential Equations, J. Differential Equations等國際著名數學期刊上發表論文20餘篇。